Chat with us, powered by LiveChat
Welcome To Suzhou Yifuhui New Material Co., Ltd.
Main materials
Is ABS Plastic Recyclable?
What is Glass Transition Temperature (Tg)?
Understanding Polycarbonate Tg: The Glass Transition Temperature of Polymers
Comparison of Polycarbonate and Plastic Lenses
Polycarbonate Lenses vs Plastic Lenses: Understanding Lens Types for Eyewear
Common Applications of ABS and Polycarbonate
ABS Plastic vs Polycarbonate: Understanding Two Common Thermoplastics
Comparing Polycarbonate and Plastic Lenses
Glasses Polycarbonate vs Plastic: Understanding Lens Options

Polyethylene Terephthalate: Understanding PET Plastic

Polyethylene Terephthalate: Understanding PET Plastic
Facebook
Twitter
Reddit
LinkedIn

Polyethylene Terephthalate (PET) stands as one of the globe’s most extensively utilized and adaptable plastic materials at present. PET exists in multiple products which people use for their daily activities starting from the water bottle located on your desk through to the packaging materials which safeguard products during their transportation. This comprehensive guide presents PET plastic as a complete material through an investigation of its historical development, material characteristics, effects on nature, and its wide range of modern practical uses, offering complete knowledge about PET and its role in creating a sustainable future.

Chemical Composition and Properties of Polyethylene Terephthalate

Chemical Composition and Properties of Polyethylene Terephthalate
Chemical Composition and Properties of Polyethylene Terephthalate

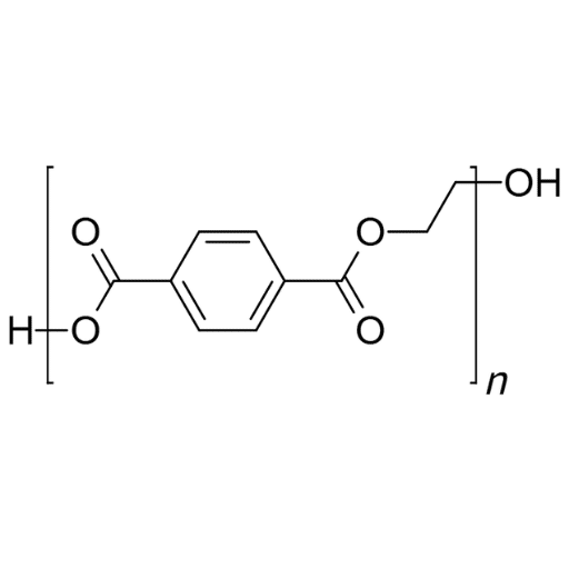
Chemical Structure of PET

Polyethylene Terephthalate (PET) functions as a thermoplastic polymer which derives its structure from repeated ester units that result from the condensation reaction between terephthalic acid (C₈H₆O₄) and ethylene glycol (C₂H₆O₂). The resulting structure displays an alternating pattern of aromatic rings which connect through ester linkages.

Key Structural Characteristics:

  • High Strength-to-Weight Ratio: Maintains exceptional structural integrity while remaining lightweight
  • Chemical Resistance: Resists various chemicals and maintains thermal properties
  • Semi-Crystalline Structure: Transparent amorphous regions combined with rigid crystalline sections
  • Recyclability: Supports complete depolymerization and re-polymerization without major structural changes

Material research developments have led to polymer orientation and crystallization improvements which resulted in better mechanical characteristics including higher tensile strength and stronger impact resistance. This basic characteristic supports its function as an environmentally friendly material option.

Physical Properties of PET Plastic

Polyethylene Terephthalate (PET) possesses strong physical characteristics which make it appropriate for different kinds of industrial uses. The material demonstrates exceptional dimensional stability under both high stress conditions and elevated temperatures.

Property Value/Range Significance
Tensile Strength 55-75 MPa High structural durability
Density 1.38 g/cm³ Lightweight with durable performance
Glass Transition Temperature 75°C Shape retention under stress
Melting Point 250-260°C High thermal stability

Chemical Resistance Profile:

  • Strong resistance to oils, alcohols, and dilute acids
  • Susceptible to breakdown by powerful alkalis
  • Exceptional barrier properties against oxygen and carbon dioxide
  • Ideal for food and beverage packaging applications

Recent research studies demonstrate that advanced polymerization methods create PET with superior crystallinity which improves its thermal and mechanical properties. The combination of these characteristics and recyclability makes PET the ideal material for developing products which provide both high performance and environmental sustainability.

Thermal Properties and Performance

Polyethylene Terephthalate (PET) possesses multiple thermal properties which enable its use across different industrial applications. PET exhibits a glass transition temperature (Tg) which ranges from 67 to 81 degrees Celsius and a melting point (Tm) which exists between 250 and 260 degrees Celsius, thus making the material appropriate for usage in environments which experience moderate temperature conditions.

Advanced Polymerization

Nucleating agents accelerate crystallization and enhance heat resistance while reducing shape deformation at high temperatures

Industrial Applications

Suitable for microwave-safe containers, automotive parts, and high-temperature manufacturing processes

Recycling Performance

Thermo-mechanical recycling processes maintain primary thermal characteristics through various recycling cycles

PET demonstrates better thermal stability and mechanical strength and sustainability compared to other materials which establishes its status as an essential material for future manufacturing requirements.

Common Applications of PET Plastic

Common Applications of PET Plastic
Common Applications of PET Plastic

PET in Beverage Bottles

Beverage bottles use polyethylene terephthalate (PET) as their primary material because it offers lightweight durability and transparent appearance at a low production cost. The latest information indicates that approximately 70 percent of worldwide beverage packaging uses PET bottles which establishes PET as the leading material in this market.

Advantages for Beverage Packaging:

  • Secure solution for both carbonated and non-carbonated beverages
  • Prevents taste and quality alterations of contents
  • Effective gas barrier for carbon dioxide preservation
  • Maintains carbonation in soda and sparkling beverages

Recycled PET (rPET) in Beverage Industry:

The development of new PET recycling technologies leads to better environmental outcomes. The recycled PET material (rPET) has become widespread because some regions require beverage bottles to contain a minimum of 30 percent recycled content. The data shows that rPET bottles perform at the same level as products made from virgin PET materials which enables companies to maintain their product quality while achieving better environmental results.

Use of PET in Packaging Materials

PET (Polyethylene Terephthalate) continues to dominate packaging materials because of its ability to provide strong yet lightweight yet versatile properties. The demand for sustainable and recyclable materials will lead to a continuous increase in global PET packaging consumption according to current market projections.

Industry Sector Application Share Key Benefits
Beverage Industry Over 50% Water and soft drink bottles
Food Packaging Significant Containers, trays, and protective materials
Cosmetics Growing Jars, bottles, and dispensers

Innovation Focus: The development of new PET manufacturing methods now enables better recycling because chemical recycling technologies allow PET materials to transform back into their original monomer components for multiple repurposing cycles without material degradation. Bio-based PET development uses plant-derived materials to decrease petroleum dependency while maintaining identical physical characteristics of standard PET. The current recycling rate of PET stands at 27 million tons annually across the globe.

PET in Textiles and Polyester Fabrics

Polyethylene terephthalate (PET) serves as one of the essential components that textile manufacturers use to produce polyester fabrics which have become a popular material among global textile producers because of their durable and resilient yet cost-effective properties.

Global PET Usage in Textiles

60%

of all PET produced worldwide goes into polyester fibers

Textile Applications:

  • Clothing production with superior mechanical strength
  • Upholstery materials for furniture and automotive interiors
  • Industrial materials requiring durability and resilience
  • Recycled polyester from plastic bottles reducing waste production

Recycling technologies have advanced to a point where PET-based polyester can now be produced from plastic bottles that consumers throw away which leads to a major reduction in waste production. PET recycling, which occurs during textile production, serves as a vital process that supports environmental sustainability efforts within the fashion and textile industries.

Environmental Impact of PET Plastic

Environmental Impact of PET Plastic
Environmental Impact of PET Plastic

Problems Associated with PET Waste

PET waste creates major problems because of its extremely slow process of natural degradation. Research shows that PET plastic requires multiple centuries for complete natural decomposition which creates serious ecological dangers.

Critical Environmental Challenges:

  • Degradation Timeline: Multiple centuries required for complete natural decomposition
  • Improper Disposal: Accumulation in landfills and dangerous ocean entry
  • Wildlife Harm: Direct impact on marine and terrestrial ecosystems
  • Low Recycling Rate: Only about 50 percent of PET waste gets recycled globally

System Inefficiencies:

The system operates inefficiently because recycling facilities fail to meet demand while consumers improperly handle materials and waste sorting becomes contaminated. The combination of these obstacles with the yearly production of over 70 million metric tons of PET products demands urgent changes to waste management systems and recycling methods to reduce PET environmental damage.

Effects of PET Pollution on Marine Ecosystems

The widespread distribution of PET plastics throughout water bodies creates serious threats to both marine species and fragile ecosystems. Recent research shows that oceans receive approximately 14 million tons of plastic waste every year which includes substantial amounts of PET plastic.

Microplastic Formation

Plastics break down into microplastics consumed by marine animals from plankton to fish and marine mammals

Disrupts health and survival of individual species and complete ecosystems

Pollutant Carriers

Microplastics attract harmful substances like PCBs and heavy metals to external surfaces

Toxic substances accumulate through food chain, affecting human health

Ecosystem Impact: The build-up of PET waste in essential ecosystems like coral reefs and mangrove forests leads to ecological disruption which prevents natural processes of growth and renewal. To reduce the effects of PET pollution on marine ecosystems multiple strategies must be implemented which include developing better biodegradable substitutes and enforcing stricter laws about plastic production and disposal and improving international recycling systems to stop waste from entering oceans.

Long-term Environmental Concerns

The widespread presence of PET pollution in marine ecosystems creates major environmental problems that will last for years because they create effects which reach beyond the initial environmental damage. Current data from worldwide research shows that microplastic contamination has worsened because the oceans receive approximately 14 million tons of plastic waste each year according to the International Union for Conservation of Nature (IUCN).

Environmental Concern Impact Description Required Action
Microplastic Consumption Species in marine food chains eating microplastics at increasing rates Develop biodegradable alternatives
Chemical Transportation Microplastics carry hazardous chemicals causing freshwater pollution Enhance waste management systems
Bioaccumulation Increased hazards for marine life, humans, and ecosystems Implement international policies and public education

To solve this growing emergency society needs to adopt sustainable materials while international organizations must create policies which will restrict production and enhance waste management and educate the public about protecting the environment.

Recycling Processes for PET Plastic

Recycling Processes for PET Plastic
Recycling Processes for PET Plastic

Steps Involved in PET Recycling

The process of recycling polyethylene terephthalate (PET) plastic establishes multiple stages which transform post-consumer waste into reusable materials while creating minimal harm to the environment. The following sections describe the main stages which PET recycling operations require for their successful execution.

1. Collection and Sorting

The collection of PET plastic waste occurs through residential recycling programs and authorized drop-off locations and wholesale recovery systems. The materials undergo a sorting process which utilizes cutting-edge sorting technology to separate materials according to their resin type and color and maintain operational reliability and material quality.

2. Cleaning and Contaminant Removal

The washing process for sorted PET plastics begins with the removal of all contaminants which include labels and adhesives and food residues and all other non-PET materials. The washing process requires hot water and chemical agents and mechanical scrubbing to achieve a clean product.

3. Shredding and Size Reduction

The industrial grinders convert the purified PET material into small flakes through a shredding process. The resulting flakes enable easier processing throughout subsequent operations while they provide a consistent particle size which facilitates effective reprocessing activities.

4. Decontamination and Purification

The flakes undergo decontamination processes which lead to the production of high-grade recycled PET (rPET) material. The facility uses chemical washing and vacuum degassing and enhanced thermal treatments which remove all remaining impurities to achieve the required safety standards for food-grade material.

5. Melting and Extrusion

The purified PET flakes undergo a melting process which creates new material through extrusion. The material requires additional processing to create pellets or fibers or sheets which will be used in future manufacturing processes.

6. Quality Control and Reuse

The quality control process evaluates the final rPET material according to three tests which measure its tensile strength and clarity and purity. The material enters the production cycle again after it receives certification for reuse, which applies to all products from packaging through to textiles.

Global Recycling Achievement

Recent research shows that PET recycling rates have improved steadily because of technological progress and better waste collection practices. Reports indicate that global PET recycling rates reached approximately 60% in developed regions, while emerging economies demonstrated a growing capacity to adopt more sustainable practices.

Challenges Faced in PET Recycling

The development of PET recycling technologies and worldwide collection system improvements have not resolved the major obstacles which stop effective recycling processes from reaching their full potential.

Contamination Issues

Incorrect disposal and non-recyclable items mixed with PET waste result in lower quality recycled material with restricted economic value

Complex Materials

Multilayer plastics and various additives require advanced, energy-intensive technologies for separation

Infrastructure Costs

Expensive facility upgrades become major obstacles preventing technology adoption in many countries

Collection Disparities

Low-income countries recycle only 20% of PET waste, leading to environmental harm and dependence on virgin plastic

Required Solutions: Three different types of efforts need to happen during the process of solving these challenges which include financing for new recycling technologies and developing stricter PET additive regulations and conducting public education initiatives to improve waste sorting and disposal methods. The global PET recycling initiatives will achieve their goals of creating a completely circular economy when they implement solutions for their institutional problems.

Innovations in Recycling Technologies

The recent developments in recycling technologies have completely changed the entire trajectory of PET recycling. The new technology creates superior operational efficiency with improved material recovery results.

Key Technological Innovations:

Chemical Recycling

Enables complete disintegration of PET into monomeric elements, creating virgin-quality material that companies can reuse without limit

Enzymatic Recycling

Engineered enzymes break down PET into basic elements with advanced capabilities in both scalability and processing speed

AI-Powered Sorting Systems

Optical sorters achieve exceptional accuracy in separating PET bottles from other waste materials, decreasing contamination levels by more than 90%

The current recycling situation shows promising potential because of existing innovations and ongoing research and development funding. The new breakthroughs set out to make PET recycling a vital component of sustainable waste management by solving three major problems, which include contamination of materials and economic viability and operating system expansion.

Industry Trends and Future Developments in PET Plastic

Industry Trends and Future Developments in PET Plastic
Industry Trends and Future Developments in PET Plastic

Current Trends in PET Production

Major Industry Trends:

  1. Post-Consumer Recycled Materials Integration: The manufacturing industry produces lightweight PET bottles and containers through advanced techniques which allow them to maintain their original strength. The process leads to cost savings and environmental advantages because it reduces both distribution requirements and raw material usage.
  2. Lightweighting Techniques: The manufacturing industry uses advanced techniques to produce lightweight PET bottles and containers which retain their original strength to achieve cost reductions and environmental benefits through decreased distribution needs and raw material consumption.
  3. Bio-based PET Alternatives: Global adoption of biodegradable additives and plant-based PET, which uses corn and sugarcane as renewable agricultural resources, has been driven by increasing demand for eco-friendly materials throughout the food and beverage and apparel and consumer goods industries.
  4. Blockchain Technology Integration: The increase of blockchain technology in PET supply chains creates transparent tracking systems which enable companies to prove their recycling activities and fulfill environmental standards while they create trust with their customers.
  5. Automation and AI Solutions: The industry receives substantial financial support for developing automated systems and artificial intelligence technologies which improve operational efficiency and product quality while reducing energy consumption.

Potential Innovations in PET Use

The main emerging development which will enhance PET (Polyethylene Terephthalate) usage is the implementation of improved chemical recycling technology. Research shows that chemical recycling technologies which include depolymerization can convert PET into its original monomeric components which enable unlimited recycling without any material quality loss.

Chemical Recycling Enhancement

Depolymerization technology enables infinite recycling cycles without quality degradation, solving issues in standard mechanical recycling techniques

Nanotechnology Applications

The deployment of nanoscale additives enhances thermal stability and barrier strength and biodegradability, which results in improved protective capabilities against oxygen and moisture for delicate products.

AI-Based Design Systems

Academic and industrial partnerships work together to create systems which improve PET molecular structures for predetermined applications while minimizing production waste and increasing operational efficiency.

The data from search engines shows that consumers will demand products with high recycled content, which will drive manufacturers to implement these technologies at an accelerated rate. The latest advancements create a meeting point where scientific research creates market value, which enables PET to reach new levels of sustainable development and various commercial applications.

Future of PET End-of-Life Management

The future of PET end-of-life management will depend on advanced recycling technologies together with data-driven strategies which will improve the entire lifecycle of PET products. The search engine data shows that consumers now show strong interest in products which support eco-friendly disposal methods and practices that promote the circular economy.

Circular Lifecycle Implementation Methods:

  • Advanced chemical recycling methods including depolymerization for complete PET breakdown
  • Enzymatic recycling applying bioengineered enzymes for PET degradation
  • AI-powered big data collection and sorting systems as primary technology solutions
  • Collaboration between government organizations, business enterprises, and general public
  • Life cycle assessment (LCA) metrics for evaluating environmental effects and data-driven planning

The advancements enable PET to shift from an environmentally harmful linear usage model into a sustainable closed-loop system which meets environmental needs and market requirements, establishing a foundation for responsible material management in the future.

Frequently Asked Questions

How can PET be recycled and how effective is post-consumer PET recycling?

The recycling system accepts post-consumer PET because it processes used PET bottles and recycled PET bottles through mechanical methods which clean and separate the materials before producing flakes or pellets that manufacturers use to create new PET resin. Mechanical recycling creates new PET materials through its recycling process which produces both PET fibers and PET film products while the recycling of high-quality streams produces new PET bottles and jars and creates lower-grade materials from PET packages. The ability to recycle PET depends on three factors which include collection rates and contamination levels and the availability of local recycling facilities, because many PET bottles get recycled yet plastic waste continues to be a problem in areas with insufficient recycling systems. The chemical recycling process for PET develops methods to break down polyethylene terephthalate into its monomer components which include dimethyl terephthalate and ethylene glycol and terephthalic acid, which create food-grade materials through a closed-loop production process.

What essential information do I need about PET packaging and the production process of PET?

PET production begins with feedstock materials which consist of two sources, namely ethylene terephthalate precursors that produce terephthalic acid and ethylene glycol or the combination of dimethyl terephthalate with ethylene glycol, which polymerize into polyethylene terephthalate polymer chains. The crystallinity control process during PET manufacturing enables producers to create either amorphous PET or crystalline PET which produces different material characteristics because they affect both visibility and barrier effectiveness, with the packaging industry using amorphous PET for transparent containers and crystalline PET for products that need enhanced heat resistance. PET packaging exists as a popular choice because it combines low weight with strong durability and transparent appearance and protective abilities, making it suitable for use in bottled PET drinks and food packaging and cosmetic containers. The PET production process can be adjusted to create polyethylene terephthalate glycol-modified (PETG) which provides better thermoforming capabilities and distinct mechanical characteristics. To reach their sustainability goals, companies have started using recycled PET materials or producing their own recycled PET products which enable them to reduce their need for new plastic materials.

Does polyethylene terephthalate plastic provide safe food contact for PET bottled products and PET packaged items?

The production of PET materials under controlled conditions creates safe contact materials which comply with regulatory standards for both PET bottles and food packaging containers. The critical testing and controlling of migration pathways through PET production and recycled PET manufacturing must occur because recycled materials demand these procedures to achieve food-grade standards through contaminant elimination. The process of recycling PET into its original monomers which include ethylene glycol and dimethyl terephthalate as well as terephthalic acid and ethylene glycol enables the production of food-safe PET through its capacity to purify ingredients at the monomer stage. The regulations for post-consumer PET require proper sorting and processing into food-grade resin or alternative products which include PET film and PET fibers used in textiles to guarantee safety. Consumers should avoid reusing single-use PET bottles repeatedly under harsh conditions, as PET is hygroscopic and can uptake moisture over time, which will lead to quality deterioration.

How does the degradation of PET contribute to plastic pollution and what about plastic litter?

Plastic waste that contains PET will remain in nature for more than 20 years because crystalline PET together with most plastic polymers resists microbial decomposition. The process of UV light together with mechanical abrasion breaking down PET leads to microplastics which create environmental contamination that impacts both soil and water ecosystems, thus making it necessary to develop effective PET bottle collection systems together with recycling operations. The existing technologies of today work towards creating methods which will either enhance degradation speed or enable the chemical process that transforms PET into its basic elements of terephthalic acid and ethylene glycol. Chemical degradation technology for PET exists but it cannot reach industrial use because the process demands excessive energy. The process of producing recycled PET material from used PET bottles results in reduced need for new raw materials, which decreases the risk of PET waste becoming environmental pollution. The solution for dealing with plastic waste and the extended duration of PET existence in natural ecosystems requires both policy solutions and enhanced packaging development and complete recycling systems across all communities.

What are the common uses of PET and how does PET film, PET fibre, and PET polyester fit into that?

PET finds use in several common applications which include PET bottles and PET containers used for food and personal care products and PET film which manufacturers use to create thermoformed trays and flexible packaging and PET fibre which consists of PET fibres and PET fibres created from recycled PET. The packaging and clothing industries prefer PET because PET polyester and PET fiber from recycled PET create strong performance while providing lightweight plastic materials that endure through time. PET film exists in two forms: amorphous PET provides a transparent appearance while biaxially oriented PET enhances its barrier and mechanical properties which leads to PET film production for both packaging and electronics applications. The specialized uses of both PLA and PET and PETG material combinations enable industries to find new uses for PET. The recycling process enables the production of new PET bottles and jars and PET packages from recycled materials which illustrates how PET achieves circularity through successful collection and recycling processes.

Can chemical recycling of PET create PET and is it feasible to make new PET resin from recycled sources?

The chemical recycling operation for PET starts with the depolymerization process which transforms polyethylene terephthalate into its fundamental building blocks of ethylene glycol and dimethyl terephthalate or terephthalic acid and ethylene glycol. The method creates new PET resin which meets food-grade standards and solves mechanical recycling challenges by processing contaminated and colored PET materials through its high-capacity recycling system. A project becomes economically feasible when three specific elements are present, which are accessible feedstock resources, affordable energy expenses, and advancements that decrease material processing energy requirements. The industry has established pilot plants and commercial operations, but their presence remains limited. Organizations use mechanical recycling together with chemical recycling to recycle their large PET bottle streams while dealing with their materials that are hard to recycle. The future of PET recycling depends on the ongoing financial backing for collection systems, sorting technologies, and the development of both mechanical and chemical recycling methods.

Understand More
Recently Posted
Contact Form Demo
Scroll to Top
Get in touch with us
Leave a message
Contact Form Demo