It can be hard to grasp the differences among the synthetic materials polyethylene and polyester when talking about them, especially polyethylene terephthalate (PET). If we look at the industries that are using both types of plastic, we will see a common ground in packaging and textiles. Still, they have their distinctive features that are not easily recognized. Whether you are concerned with the sustainability issue, product life evaluation, or just being inquisitive about their applications, this article will enlighten you about the major dissimilarities. You will be able to distinguish the two plastics very well regarding their properties and usage, and more importantly, you will be convinced of the significance of making the right choice in the increasingly eco-friendly world we live in today.
Introduction to Polyester and Polyethylene

Polyester’s Origins and History
The synthetic polymer polyester was first invented by two British chemists, John Rex Whinfield and James Tennant Dickson, in the 1930s. The initial reason for its creation was the demand for new materials, and in 1941, polyester was patented. Soon after, it became a phenomenon in the industry. The large-scale production, along with the properties of polyester such as being sturdy and flexible, eventually made it the fabric of choice for the entire market. The polyester industry was mainly focused on textiles and clothing, especially in the 1950s and 1960s due to post-war consumers’ need for easy-care fabrics.
According to the latest figures, polyester is still the most popular fiber on a global scale, with 50% plus of the synthetic fiber production. It has continued to be in high-demand for various sectors, including textiles, furnishing, and at even some industrial levels. But the question of pollution control standards has made people from the research and development side as well as the manufacturing sector turn their attention to easily recycled or even bio-based versions of polyester so as to cut down the ecological load. The whole scenario speaks of polyester’s extraordinary knack of changing lanes as per market and social needs.
Polyethylene’s Origins and History
Polyethylene, the king of plastics, has experienced many ups and downs during the course of its long journey, which can be traced back to the early 20th century. The German chemist Hans von Pechmann first synthesized it in 1898 through a series of unintentional steps that produced a white, waxy substance from diazomethane decomposition. However, it was not until 1933 when Eric Fawcett and Reginald Gibson at the UK’s Imperial Chemical Industries (ICI) accidentally made polyethylene through an unintended reaction under high pressure that the material finally saw its light. This was the start of the material’s journey towards commercialization.
Polyethylene has since transitioned through numerous forms and grades, each tailored to meet specific industrial or consumer requirements. Rapidly growing plastics and coatings industry and even more so in 2023, polyethylene is responsible for more than 30% of total global plastic production with its remarkable versatility, durability, and cost-efficiency. Its numerous applications include such sectors as packaging, construction, automotive and many others making it an indispensable material in the modern world. The sustainability issue, however, has made the recycling and production of bio-based alternatives to conventional polyethylene continue to get the attention of researchers, with the aim of mitigating the environmental impact caused by its extensive use.
Industries’ Common Uses
The versatility of polyethene has contributed to its being a crucial material in several sectors and industries. The most recent statistics show that packaging is the largest end-use market for polyethene, accounting for more than 60% of the global demand. Polyethene-containing products are plastic bags, cling films, bottles which are pivotal in keeping things fresh and reducing food waste. The construction sector also consumes polyethene extensively in the form of pipes, insulation, vapor barriers, etc, and thus assures resistance to weather conditions and durability. The automobile industry, however, derives the ease of manufacturing and the modest selling price associated with using lightweight polyethene components and thus getting better fuel efficiency. Recycling technology advancements have resulted in increasing the quantity of repurposed polyethene products, which further discusses the role of polyethene across industries while also taking the environment-friendly aspect into account.
Chemical Composition and Manufacturing Processes

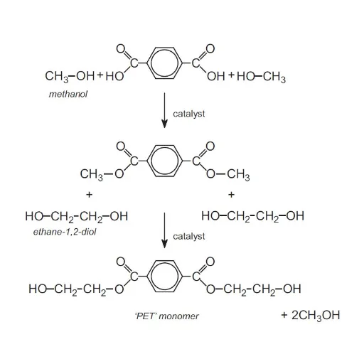
Polyester Composition and Production Methods
Polyester is a manmade polymer that is mainly made of polyethylene terephthalate (PET), which comes from oil-based materials like ethylene glycol and terephthalic acid. The first step of production is the creation of the polymer from the raw materials at a high temperature and under pressure, which will lead to a formation of long-chain polymers. The next step is to melt the polymers and draw them into fibers or sheets, which can be subjected to different additional treatments depending on the end application of the product.
The application of advanced manufacturing techniques like melt spinning and solid-state polymerization has further improved both the efficiency and quality of polyester production. In addition, the more recent trends reveal that the use of recycled PET (rPET) in polyester production is on the rise and it has an excellent effect on the environment. The market for global polyester fibers has also seen an increase in demand owing to its versatility, durability, and wide-ranging applications in the textile, packaging, and industrial sectors, as indicated by the recent data. They are also working on the incorporation of bio-based alternatives into polyester production that will not only be eco-friendly but also meet consumer and industrial needs.
Polyethylene Composition and Production Methods
Polyethylene is a polymer that comes under the category of thermoplastics and is primarily made up of ethylene monomers’ long chains, which are the main components of petroleum or natural gas. It is one of the most popular plastics in the world because it is versatile, lightweight, and has a long life. Polyethylene is divided into several types, such as high-density polyethylene (HDPE), low-density polyethylene (LDPE), and linear low-density polyethylene (LLDPE), each having its specific properties that make them suitable for different applications from packaging to construction materials.
The manufacturing process of polyethylene usually consists of polymerization, where ethylene gas is fed to either high-pressure radical polymerization or low-pressure catalytic polymerization depending on which type of polymer is being made. According to recent statistics, there is an increasing trend toward the adoption of the more efficient and eco-friendly production technologies, such as the use of bio-based ethylene derived from renewable resources, such as sugarcane, which is one of the reasons the shift not only minimizes dependence on fossil fuels but also corresponds with global sustainability campaigns, as well as meeting the demand for eco-friendly materials in different sectors.
Key Differences in Polymer Structures
Polymers are differentiated on based on the arrangement of their molecular chains, which has a direct impact on their properties and applications. Straight polymers have a linearly arranged structure, which results in less flexibility but more strength, a case in point being high-density polyethylene (HDPE). The properties of branched polymers, such as low-density polyethylene (LDPE), are side chains which limit packing density and thus lead to diminishing strength but increasing ductility. On the contrary, cross-linked polymers form a three-dimensional network structure that helps them attain strength and heat resistance, thus, they are preferred in making products like rubber and thermosetting plastics.
The recent data indicates an increasing interest in environmentally friendly polymers with sustainable structures, such as biodegradable and recycled materials. It is a trend that will easily convince most consumers to buy eco-friendly products that are especially needed in such industries as packaging and construction. Manufacturers of polymers have the chance to produce desired traits with less environmental impact by utilizing bio-based resources and research’s novel polymerization techniques. This symbiosis between technology and sustainability is the very essence of the dynamic nature of the polymer science field.
Physical Properties of Polyester and Polyethylene

Tensile Strength and Durability Comparisons
Both polyester and polyethylene stand out in terms of their respective tensile strength and durability. Polyester, for instance, exhibits very high tensile strength, excellent resistance to abrasion, and a great capacity for retaining its original form during stress. Thus, it is extensively used in the textile, rope, and industrial sectors. On the other hand, polyethylene, particularly in high-density form (HDPE), is characterized by very low impacts, good chemical resistance and high flexibility. Therefore, it has become a favorite for applications in packaging, piping, and containers.
According to the newest findings, polyester fits the bill in general when it comes to tensile strength while polyethylene is the better option only in the case of tensile strength and impact resistance. Nevertheless, polyethylene’s high impact resistance and stretching are of benefit in places where the criteria are flexibility and the ability to withstand deformation. This combination of characteristics enables the two materials to meet the requirements of both the consumer and the industrial market in a diversely effective manner.
Flexibility and Elasticity Metrics
When it comes to the metrics of flexibility and elasticity, polyethylene is the material that most frequently occurs as the winner of the contest over polyester because its extraordinary ability to bear the repeatable deformation is the reason why it does not lose its shape. Polyethylene’s lower elasticity modulus than polyester signifies polyethene’s higher version of pliability. That quality makes it suitable for such products as packaging films, containers, and flexible tubing, where adaptability is a must. Polyester’s higher elasticity modulus indicates its stiffness; consequently, it is a material of choice for making products that require dimensions toughness, such as textiles and durable straps. Thus, the contrast points out how the knowledge of these metrics can assist in selecting the right materials for the specific functional requirements.
Temperature Resistance and Performance
Besides their excellent properties like tensile strength, the temperature resistance of materials like polyethylene and polyester helps immensely in making their applications easier to be evaluated and chosen. Polyethylene, mostly in the case of HDPE, is a material that endures very low temperatures but not too much heat and thus it melts at a temperature of around 120–130°C. In contrast, polyester is a plastic that can take very high temperature up to about 250°C, thus, losing its melting point, so its application is in high-temperature environments.
Recent data from trends and expert discussions further highlight the growing interest in leveraging polyester for industrial applications requiring thermal stability, such as conveyor belts and hot-fill packaging. Understanding these temperature performance characteristics allows industries to optimize material selection, ensuring durability and efficiency under specific operational conditions.
Applications Across Industries

Polyester Applications in Textiles and Apparel
Polyester, with its unique characteristics, among which are durability, its no wrinkle trait and low cost, is still the major material in the textile and apparel industry. Recent researches and search trends have shown that consumers are willing to pay more for eco-friendly options in polyester, especially recycled polyester that is often called rPET. Coming along with the rise in the popularity of eco-friendly fashion, this movement correlates with the increasing environmental consciousness and sustainability requirements. The blending with other fibers such as cotton and spandex has made polyester a very comforting and easy to wear fabric in activewear, workwear, and casual clothing. By using the creative methods of combining these fibers and others being developed, the fibers of the fashion trade are meeting the varied demands of the consumers while still complying with the global shift towards sustainable materials.
Polyethylene Applications in Packaging and Containers
Polystyrene is one of the most used plastics in packaging and containers as it has a very attractive set of properties such as versatility, durability, and cost-effectiveness. The material is available in different grades such as high-density polyethylene (HDPE) and low-density polyethylene (LDPE) among which each is suited for certain applications. HDPE finds its major use in stiff packing items like milk jugs, detergent bottles, and industrial drums and is preferred for its super strength-to-density ratio properties. LDPE, conversely, is the top choice for soft packaging like plastic bags, shrink wraps, and squeezable containers because of its pliability and moisture resistance.
The latest data has pointed out the increasing need for polyethylene in green packaging solutions. By analyzing trends in searches and reports from the industry, it can be said that the use of recycled polyethylene and bio-based grades has gone up a lot since consumers chose eco-friendly materials. These ways of turning materials around are not just about making fewer emissions; they also help maintain the qualities of the fabric being lightweight and providing protection. Polyethylene is the material that is being supported by all the environmental, regulatory, and manufacturing innovations, and it is the one that will be constantly evolving along the line of sustainable practices across every sector imaginable, from food and beverage to healthcare and retail.
Other Industry Uses: Automotive and Construction
Polyethylene is a key component in both automotive and construction applications because of its versatility, endurance, and being a low-cost material. Fuel tanks, bumpers, and interior components are the major applications where the automotive industry has a massive use of polyethylene manufacturing, which also provides lightweight solutions to improve the efficiency of vehicles and reduce fuel consumption. Likewise, polyethylene finds application in construction as protective barriers, piping systems, and insulation. The recent developing of trends has been indicating a significant increase in the interest towards sustainable and recyclable polyethylene applications in these sectors which reflects a major industry shift towards eco-friendly practices. With the growing pressure from consumers and regulators for the availability of eco-friendly solutions, polyethylene innovations are determined to meet the corresponding demand in performance and at the same time, be aligned with the sustainability targets.
Advantages and Disadvantages of Each Material

The Cost-Effectiveness of Polyester vs. Polyethylene
The cost-effectiveness of polyester and polyethylene has aspects that differ and favor the two materials based on the application cases. Generally, the production of polyester is more costly and thus the expensive chemical processes and the higher durability and versatility in textiles mostly account for this. Yet, the higher initial cost is often neutralized by the long-lasting nature of polyester, making it a cost-effective choice for those kinds of products, for instance, clothing, etc. and industrial uses, that require long service life.
In contrast, polyethylene is usually less expensive, being manufactured through a simpler method and being available widely. Its use is predominant in packaging, where the main aims are cost-effectiveness and easy disposal. Moreover, recent insights from ‘s trend monitoring have indicated the creation of a preference for green polyethylene uses, which will probably affect its cost-effectiveness as then, in order to satisfy the demands of consumers and regulations, producers will have to switch to the more expensive eco-friendly methods.
In the end, the decision of using polyester or polyethylene should be made with consideration of the particular demands of the application in question; a compromise should be struck between the initial costs, the durability requirements, and the demand for production methods that are sensitive to the environment. The shifts in demand imply that as sustainability becomes a key factor in decision-making, the innovations in both materials will have the potential to alter their cost-effectiveness in the not-so-distant future.
Performance Under Different Conditions
Among the performance aspects of polyester and polyethylene that vary with conditions one needs to analyze the factors of temp, moisture, and mechanical stress absolutely. Polyester has very good thermal resistance properties in general, even at higher temperatures, maintaining its integrity, and therefore it is often considered the best material for heat tolerant applications. Conversely, polyethylene is the material one would choose in extremely cold areas as it does not lose its flexibility even at below-zero degrees; however, the opposite holds true when the temperature is high, that is, it gets deformed.
Another key factor is moisture resistance. Polyester is the one that absorbs less water and hence is stable dimensionally in humid surroundings so it is good for fabrics and products for outdoors. While the opposite is true for polyethylene, it is naturally water resistant yet the material can… continue degrading when it is under prolonged exposure to UV light, however, there have been innovations in stabilizers and additivies that increased its durability in settings where there is outdoor exposure.
The latest search data signals environmentally-friendly properties of these materials as the reason for the increasing attention. The case in point here is the plunge of search interest in “UV resistant polyethylene” and “heat resistant polyester”, this escalation now indicates that consumers and manufacturers increasingly consider material performance under extreme environmental conditions as one of their priorities. Hence, it becomes clear that it is even more paramount for material innovators to come up with new materials that not only have better functionalities but also are reusable in industries with demanding requirements.
Longevity and Maintenance Considerations
The longevity and maintenance of materials, have current search trends showing users care more about the durability and upkeep of the materials. ‘s info reveals the data indicating the search interest for terms such as “long-lasting materials for outdoor use” and “low-maintenance building materials” as an indication of a move towards solutions that lessen the long-term load on consumers and industries. People are looking for materials that can tolerate extreme environmental conditions but at the same time do not need to be repaired frequently and cost-efficiently. This is the argument for the selection of materials that are dependable and user-friendly, thus guaranteeing them to keep up their performance standards over time while necessitating low maintenance.
Sustainability and Environmental Impact

Environmental Impact of Polyester Production
The environmental impact of polyester production is considerable and mainly due to the use of fossil fuels and high energy consumption. Since it is made from petroleum, the production of polyester adds to global warming by increasing the amount of greenhouse gases in the atmosphere. It is estimated that during the production of one ton of polyester around 9.52 tons of carbon dioxide are emitted. This is quite an output when compared to that of natural fibers like cotton and leather. Moreover, the polyester production process uses vast amounts of energy and water, which adds further burden to the already strained natural resources of the earth.
The lifecycle of polyester also contributes to its negative impact on the environment besides production. Textiles made from polyester are non-biodegradable and thus remain in landfills for hundreds of years. In addition, the washing of polyester fabrics sends tiny plastic particles into rivers and oceans which are harmful to marine life. Recent studies reveal that about 35% of microplastic pollution worldwide comes from synthetic textiles and polyester is among the top notches of the contributors. The reversibility of these issues requires nothing short of a complete overhaul of the system to enable recycling of polyester, making production less wasteful, and using bio-based materials to reduce its impact on the environment.
Environmental Impact of Polyethylene Production
Polyethylene, a plastic that ranks among the most produced plastic worldwide, is also a significant contributor to environmental problems. Its manufacturing process is very dependent on fossil fuels and thus is indirectly responsible for emitting greenhouse gases that cause global warming. According to the latest reports, manufacturing of polyethylene emits about 1.8 billion tons of CO2 to the atmosphere every year, denoting the highly carbon-intensive nature of its production. Moreover, wrong disposal methods of polyethylene would result in plastic getting into environments where its presence would disrupt both marine and terrestrial ecosystems drastically. Recycling technologies, use of renewable feedstock in production, and promotion of biodegradable methods are some of the efforts which are being taken to reduce the environmental impact of plastic.
Recycling Innovations and Biodegradable Alternatives
Innovations in recycling techniques have played a vital role in coping with the issues created by polyethylene waste. The use of advanced chemical recycling processes like depolymerization allows the breakdown of plastics into their basic monomers which render the material suitable for reuse in high-quality applications. The recent reports reflect that worldwide investment in chemical recycling has increased manifold due to the growing concerns about the environment; thus, it is a promise that the month of waste from landfills and incineration will be cut short.
Moreover, the production of biodegradable materials is also a factor that is actively helping in the fight against plastic pollution. Bioplastics made from corn starch have been developed in the form of polylactic acid (PLA) and a similar one derived from microorganisms is known as polyhydroxyalkanoates (PHA). These types of synthetic materials require specific environmental conditions to degrade and thus their ecological footprint is significantly less. In addition, the latest breakthroughs in enzyme-based biodegradation may lead to the speeding up of the break-up of ordinary plastics, which could lead to a hybrid solution that joins recycling with degradability to meet sustainability aims.
Frequently Asked Questions (FAQ)
What are the main differences between polyester and polyethylene?
Although both polyester and polyethylene are polymers, they are not the same at all. Polyester, most commonly derived from a dicarboxylic acid and a diol, is characterized by its strength and wrinkle resistance, and thus, it has found its way into clothing such as polyester fabric. Conversely, polyethylene is the most commonly used plastic worldwide and its main application is in packaging, especially in the forms of plastic bags and films. In addition to that, while polyester has low water absorption, polyethylene repels water, thus making it apt for waterproof applications. Knowing these differences can ease the way selecting right material for a particular application.
How does the recycling process differ for polyester and polyethylene?
One of the reasons for the dissimilarity in recycling processes of polyester and polyethylene is their different chemical structures. Recycling of polyester goes through the site of chemical reactions, where polymers get broken into monomers that can be used further, whereas, the recycling of polyethylene mostly relies on physical processes that involve shredding and remolding into new products which are then used for manufacturing of refuse bins and pipes for water. Both the materials pose recycling challenges, especially in terms of contamination and the quality of the recycled products. Nevertheless, the advancements in post-consumer recycling technologies are enhancing the efficacy of both processes.
What is the environmental impact of using polyester versus polyethylene?
The environmental impact of polyester and polyethylene is not the same and it can be said that they are different in this regard by a large margin. Polyester production comes with the downside of more energy consumption and if the production is not carried out responsibly, it can also result in toxic fumes from mattresses and other products. On the contrary, the case of polyethylene is different that while it is the most used type of plastic and considered less harmful in terms of immediate toxicity, it still adds a lot to the plastic waste in landfills. Besides the fact that both of them can be recycled, improper disposal increases their environmental footprint. It is the case that choosing biodegradable alternatives or reducing reliance on these plastics can lessen their impact on ecosystems.
Are there specific applications where one polymer is preferred over the other?
Polyester and polyethylene are often chosen between depending on the application. Textiles and upholstery are the preferred fields for polyester due to its strength and quick-drying nature, thus it works perfectly for high-performance applications such as fleece jackets. On the other hand, polyethylene bags and films are the most common packaging where it is used because of its flexibility and chemical stability. In construction, such as water pipes, polyethylene’s moisture resistance is its critical quality. It can help producers to make the right choice for their products if they understand the unique traits of each monomer.
What types of products are commonly made from polyester and polyethylene?
Durable and versatile polyester is the fabric of choice in the clothing and upholstery industries; thus, it is widely used for producing fabrics. Strong polyester yarns can be dyed in various colors, and applications of polyester knitting products are not limited by the fabric’s coloring. Polyethylene is mainly used in packaging materials but also in the production of plastic bags, ghee containers, etc. It is also used in making plastic toys with toughness and safety characteristics being the main requirements for the use of polyethylene in this case. Both types of polymers are indispensable in the manufacturing of everyday products thus underlining their significance in the contemporary industry.
Reference Sources
| Source Name | Website | Description |
|---|---|---|
| PubMed Central (PMC) | https://www.ncbi.nlm.nih.gov/pmc/ | A free full-text archive of biomedical and life sciences journal literature. It includes studies and articles on materials like polyester and polyethylene, especially in medical and environmental contexts. |
| ScienceDirect | https://www.sciencedirect.com/ | A leading platform for peer-reviewed literature, including articles on the properties, applications, and environmental impact of synthetic materials like polyethylene and polyester. |
| SpringerLink | https://link.springer.com/ | Provides access to millions of scientific documents, including books, journal articles, and research papers on polymers and their applications. |




